전공/자료구조
[자료구조] 연결 리스트 4 (연결 스택과 큐, 다항식, 이중 연결 리스트)
dev_ares
2023. 5. 12. 15:04
728x90
반응형
연결 스택과 큐
연결 스택
- top에서 노드 삽입, 삭제 용이
- top: 스택의 톱 노드를 가리키는 전용 데이터 멤버
- 초기엔 top = 0

template <class T>
void LinkedStack<T>::Push(const T &e)
{
top = new ChainNode<T>(e, top);
}
template <class T>
void LinkedStack<T>::Pop()
{ // 스택의 첫 번째 노드를 삭제
if (IsEmpty())
throw "Stack is empty. Cannot delete.";
ChainNode<T> *delNode = top;
top = top->link; // top노드를 삭제
delete delNode; // 메모리 할당 해제
}
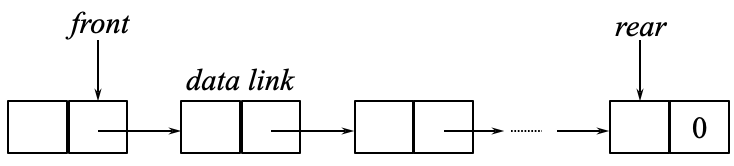
연결 큐
- rear에서 노드 삽입 용이
- front에서 노드 삽입, 삭제 용이
- rear: 큐의 마지막 노드를 가리키는 전용 데이터 멤버
- front: 큐의 처음 노드를 가리키는 전용 데이터 멤버
- 초기 front와 rear는 0

template <class T>
void LinkedQueue<T>::Push(const T &e)
{
if (IsEmpty())
front = rear = new ChainNode(e, 0); // 큐가 비어있는 경우
else
rear = rear->link = new ChainNode(e, 0); // 노드를 생성해서 연결
}
template <class T>
void LinkedQueue<T>::Pop()
{ // 큐의 첫 번째 노드를 삭제
if (IsEmpty())
throw "Queue is empty. Cannot delete.";
ChainNode<T> *delNode = front;
front = front->link; // 체인의 첫 번째 노드 삭제
delete delNode; // 메모리 할당 해제
}
다항식
- \(a(x) = a_{m}x^{e_{m}} + ... + a_{1}x^{e_{1}}\)
- \(a_{i}\): 0이 아닌 계수
- \(e_{i}\): 음가 아닌 정수 지수
- \(e_{m} > e_{m-i} > ... > e_{2} > e_{1} ≥ 0\)
- 리스트를 사용해서 클래스 Polynomial(다항식) 구현
- Polynomial은 List에 IS-IMPLEMENTED-BY 관계

Polynomial 클래스의 정의
struct Term
{ // Term의 모든 멤버는 묵시적으로 public
int coef; // 계수
int exp; // 지수
Term Set(int c, int e)
{
coef = c;
exp = e;
return *this;
};
};
class Polynomial
{
public:
// 정의된 공용 함수들
private:
Chain<Term> poly;
};
다항식의 덧셈
Polynomial Polynomial::operator+(const Polynomial &b) const
{ // 두 다항식의 합 리턴
Term temp;
Chain<Term>::ChainIterator ai = poly.begin(),
bi = b.poly.begin();
Polynomial c; // c는 a, b를 더한 다항식
while (ai && bi)
{ // 한쪽 다항식의 항을 전부 더할 때까지 반복
if (ai->exp == bi->exp)
{ // ai, bi의 차수가 같다면
int sum = ai->coef + bi->coef; // ai, bi의 계수를 더해줌
if (sum)
c.poly.InsertBack(temp.Set(sum, ai->exp));
ai++;
bi++; // 각각의 다항식의 다음 노드로 변경
}
else if (ai->exp < bi->exp)
{
c.poly.InsertBack(temp.Set(bi->coef, bi->exp));
bi++; // next term of b
}
else
{
c.poly.InsertBack(temp.Set(ai->coef, ai->exp));
ai++; // next term of a
} // 더 큰쪽 차수의 항을 c에 추가함
}
while (ai)
{ // a의 남은 부분을 복사
c.poly.InsertBack(temp.Set(ai->coef, ai->exp));
ai++;
}
while (bi)
{ // b의 남은 부분을 복사
c.poly.InsertBack(temp.Set(bi->coef, bi->exp));
bi++;
}
return c;
}
시간복잡도 - O(m +n)
다항식의 원형 리스트 표현
원형 리스트 표현

- 0인 다항식을 특수 경우로 처리해야 함
헤더 노드 사용

프로그램
void Equivalence()
{
// 초기화
while more pairs
{
input the next pair (i,j);
process this pair;
}
initialize for output;
for (each object not yet output)
output the equivalence class that contains this object;
}
구현
class ENode
{
friend void Equivalence();
public:
ENode(int d = 0) // 생성자
{
data = d;
link = 0;
}
private:
int data;
ENode *link;
};
void Equivalence()
{
// 등가 쌍을 입력받고 등가 클래스를 출력
ifstream inFile("equiv.in", ios::in); // "equiv.in"은 입력 파일
if (!inFile)
throw "Cannot open input file.";
int i, j, n;
inFile >> n; // 객체의 수를 입력받음
// first 배열과 out 배열을 초기화함
ENode **first = new ENode *[n]; // ENode 포인터 배열
bool *out = new bool[n]; // 불리언 배열
// fill 함수를 사용하여 초기화함
fill(first, first + n, static_cast<ENode *>(0)); // first를 null로 초기화함
fill(out, out + n, false); // out을 false로 초기화함
// Phase 1: 등가 쌍을 입력함
inFile >> i >> j;
while (inFile.good())
{ // 파일의 끝까지 읽음
// first[i]와 first[j]에 새로운 ENode를 삽입함
first[i] = new ENode(j);
first[j] = new ENode(i);
// 다음 등가 쌍을 읽음
inFile >> i >> j;
}
// Phase 2: 등가 클래스를 출력함
for (i = 0; i < n; i++)
{
if (!out[i])
{ // 출력해야 함
cout << endl
<< "새로운 클래스: " << i;
out[i] = true;
ENode *x = first[i];
ENode *top = 0; // 스택 초기화
while (1)
{ // 클래스의 나머지를 찾음
while (x)
{ // 리스트를 처리함
j = x->data;
if (!out[j])
{ // 출력해야 함
cout << ", " << j;
out[j] = true;
ENode *y = x->link;
x->link = top;
top = x;
x = y;
}
else
x = x->link;
} // while(x)의 끝
if (!top)
break;
x = first[top->data];
top = top->link; // 스택에서 제거함
} // while(1)의 끝
} // if(!out[i])의 끝
} // for(i = 0; i < n; i++)의 끝
// 동적으로 할당된 메모리 해제함
for (i = 0; i < n; i++)
{
while (first[i])
{
ENode *delnode = first[i];
first[i] = delnode->link;
delete delnode;
}
}
delete[] first;
delete[] out;
}
이중 연결 리스트
- 각 노드는 전방과 후방을 가리키는 두 개의 링크를 가짐


이중 연결 리스트 클래스
class DblList;
class DblListNode
{
friend class DblList;
private:
int data;
DblListNode *left, *right;
};
class DblList
{
public:
// 연산자 오버로딩 함수들
//
//
private:
DblListNode *first; // header 노드 가리킴
};
이중 연결 원형 리스트로부터 삭제

void DblList::Delete(DblListNode *x)
{
if (x == first)
throw "Deletion of header node not permitted";
else
{
x->left->right = x->right;
x->right->left = x->left;
delete x;
}
}
이중 연결 원형 리스트에 삽입

void DblList::Insert(DblListNode *p, DblListNode *x)
{ // 노드 x의 오른편에 노드 p 삽입
p->left = x;
p->right = x->right;
x->right->left = p;
x->right = p;
}728x90
반응형