728x90
반응형
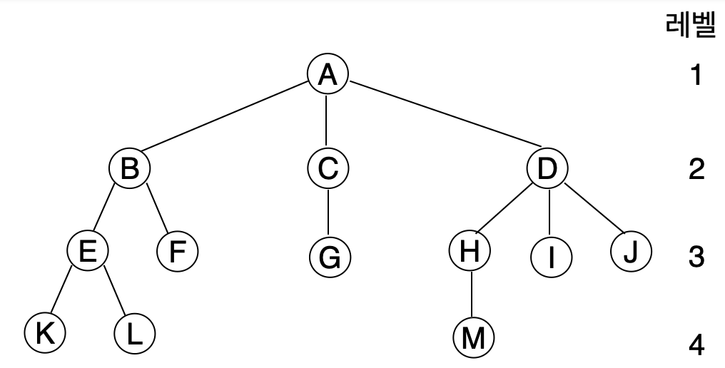
트리
하나 이상의 노드로 이루어진 유한 집합
- 하나의 루트 노드
- 나머지 노드들은 n(≥0) 개의 분리 집합 \(T_{1}, T_{2},..., T_{n}\)으로 분할
- \(T_{i}\): 루트의 서브트리
| 노드 | 한 정보 아이템 + 다른 노드로 뻗어진 가지 |
| 노드의 차수(degree) | 노드의 서브트리 수 |
| 단말(리프) 노드 | 차수 = 0 |
| 비단말 노드 | 차수 ≠ 0 |
| 자식 | 노드 X의 서브트리의 루트 |
| 형제 | 부모가 같은 자식들 |
| 트리의 차수 | 노드의 차수의 최댓값 |
| 조상 | 루트까지의 경로상에 있는 모든 노드 |
| 레벨 | 루트 == 레벨1, 자식 레벨 == 부모 레벨 + 1 |
| 높이(깊이) | 노드 레벨의 최댓값 |

트리의 리스트 표현
(A(B(E(K,L),F),C(G),D(H(M),I,J)))
- 차수가 k인 트리에 대한 노드 구조
트리 예시
더보기

노드 구조



이진트리
공백이거나 루스와 두 개의 분리된 이진트리로 구성된 노드의 유한 집합
- 한 노드는 최대 두 개의 가지
- 왼쪽 서브트리와 오른쪽 서브트리 구별
- 0개의 노드를 가질 수 있음
template <class T>
class BinaryTree
{ // 빈 이진트리이거나 루트 노드, 왼쪽 이진트리, 오른쪽 이진트리로 구성된 유한한 노드 집합
public:
BinaryTree();
// 빈 이진트리를 생성
bool IsEmpty();
// 이진트리가 비어있는지 여부를 반환
BinaryTree(BinaryTree<T> &bt1, T &item, BinaryTree<T> &bt2);
// bt1을 왼쪽 서브트리, bt2를 오른쪽 서브트리, item을 루트 노드의 데이터로 하는 이진트리를 생성
BinaryTree<T> LeftSubtree();
// *this의 왼쪽 서브트리를 반환
BinaryTree<T> RightSubtree();
// *this의 오른쪽 서브트리를 반환
T RootData();
// *this의 루트 노드 데이터를 반환
};
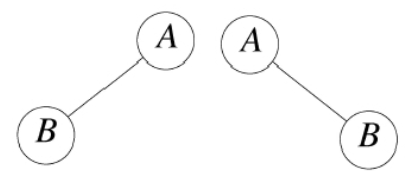
이진트리와 일반 트리의 차이점
- 이진트리는 공백 이진 트리 가능
- 이진 트리는 자식의 순서 구별

이진트리의 성질
최대 노드 수
- 레벨 i에서 최대 노드 수: \(2^{i-1}(i ≥ 1)\)
- 깊이가 k인 이진트리가 가질 수 있는 최대 노드 수: \(2^{k}-1(k ≥ 1)\)
리프 노드 수와 차수가 2인 노드 수와의 관계
- \(n_{0} = n_{2} + 1\)(\(n_{0}\): 리프 노드 수, \(n_{2}\): 차수가 2인 노드 수)
- \(n_{1}\): 차수가 1인 노드 수, n: 총 노드 수, B: 총 가지 수
- \(n = n_{0} + n_{1} + n_{2}\)
- 루트를 제외한 모든 노드들은 들어오는 가지가 하나씩 있으므로
\(n = B + 1\) - 모든 가지들은 차수가 2 또는 1인 노드에서 뻗어 나오므로
\(B = n_{1} + 2n_{2}\)
총 정리
\(n = B + 1 = n_{1} + 2n_{2} +1\)
\(n_{0} = n_{2} + 1\)
포화 이진트리

- 깊이 - k
- 노드 수 - \(2^{k}-1\)
- 노드 번호 1 ~ \(2^{k}-1\) 까지 순차적 부여 가능
완전 이진트리

- 깊이 - k
- 노드 수 - n
- 1~n까지 포화 이진트리와 노드 번호가 같은
- \([log_{2}(n+1)]+1\)
편향 이진트리

이진트리의 표현
배열 표현
- 1차원 배열에 노드를 저장
- n개의 노드를 가진 완전 이진트리가 순차적으로 표현되고 인덱스가 1 ≤ i ≤ n일 때
- parent(i): [i/2]
- leftChild(i): 2i
- rightChild(i): 2i+1
- 완전 이진트리: 낭비되는 공간 없음
- 편향 이진트리: 공간 낭비 - 최악의 경우 깊이 k 편향 트리는 \(2^{k}-1\) 중 k개만 사용
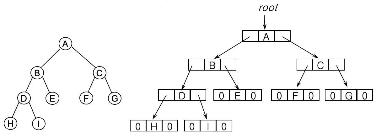
연결 표현
노드 - [left child | data | right clild]
template <class T>
class Tree; // 전방 선언
template <class T>
class TreeNode
{
friend class Tree<T>;
private:
T data;
TreeNode<T> *leftChild;
TreeNode<T> *rightChild;
};
template <class T>
class Tree
{
public:
// 트리 연산 함수들
//
//
private:
TreeNode<T> *root;
};
예시


이진 트리 순회와 트리 반복자
트리 순회
- 트리에 있는 모든 노드를 한 번씩만 방문
- 순회 방법: LVR, LRV, VLR, VRL, RVL, RLV
- L - 왼쪽 이동, V - 노드 방문, R - 오른쪽 이동
- V의 위치에 따라
- 전위(preorder) 순회
- 중위(inorder) 순회
- 후위(postorder) 순회
전위 순회
template <class T>
void Tree<T>::Preorder()
{ // 인자 미입력시 루트부터 순회
Preorder(root);
}
template <class T>
void Tree<T>::Preorder(TreeNode<T> *currentNode)
{ // 현재 노드와 서브트리의 노드들을 순회
if (currentNode)
{
Visit(currentNode);
Preorder(currentNode->leftChild);
Preorder(currentNode->rightChild);
}
}
중위 순회
template <class T>
void Tree<T>::Inorder()
{
Inorder(root);
}
template <class T>
void Tree<T>::Inorder(TreeNode<T> *currentNode)
{
if (currentNode)
{
Inorder(currentNode->leftChild);
Visit(currentNode);
Inorder(currentNode->rightChild);
}
}
후위 순회
template <class T>
void Tree<T>::Postorder()
{
Postorder(root);
}
template <class T>
void Tree<T>::Postorder(TreeNode<T> *currentNode)
{
if (currentNode)
{
Postorder(currentNode->leftChild);
Postorder(currentNode->rightChild);
Visit(currentNode);
}
}
레벨 순서 순회
큐 사용
루트 방문 -> 왼쪽 자식 방문 -> 오른쪽 자식 방문
template <class T>
void Tree<T>::LevelOrder()
{ // 이진 트리의 레벨 순서 순회
Queue<TreeNode<T> *> q;
TreeNode<T> *currentNode = root;
while (currentNode)
{
Visit(currentNode);
if (currentNode->leftChild)
q.Push(currentNode->leftChild);
if (currentNode->rightChild)
q.Push(currentNode->rightChild);
if (q.IsEmpty())
return;
currentNode = q.Front();
q.Pop();
}
}
이진 트리의 복사
template <class T>
Tree<T>::Tree(const Tree<T> &s)
{ // Copy constructor
root = Copy(s.root);
}
template <class T>
TreeNode<T> *Tree<T>::Copy(TreeNode<T> *origNode)
{ // 해당 노드에서의 트리를 복사해서 포인터를 리턴
if (!origNode)
return 0;
return new TreeNode<T>(origNode->data,
Copy(origNode->leftChild),
Copy(origNode->rightChild));
}
이진 트리 동일성 검사
template <class T>
bool Tree<T>::operator==(const Tree &t) const
{
return Equal(root, t.root);
}
template <class T>
bool Tree<T>::Equal(TreeNode<T> ~*a, TreeNode<T> ~*b)
{
if ((!a) && (!b))
return true; // a, b 모두 0일때
return (a && b // a, b 모두 0이 아닐 때
&& (a->data == b->data) // 데이터가 같은 경우
&& Equal(a->leftChild, b->leftChild) // 왼쪽 서브 트리가 같은 경우
&& Equal(a->rightChild, b->rightChild)); // 오른쪽 서브 트리가 같은 경우
}728x90
반응형
'전공 > 자료구조' 카테고리의 다른 글
| [자료구조] 그래프 1 (그래프 정의, 그래프 표현, 그래프 탐색) (0) | 2023.05.30 |
|---|---|
| [자료구조] 트리 2 (최대 히프, 이진 탐색 트리) (2) | 2023.05.19 |
| [자료구조] 연결 리스트 4 (연결 스택과 큐, 다항식, 이중 연결 리스트) (0) | 2023.05.12 |
| [자료구조] 연결 리스트 3 (원형 리스트, 가용 공간 리스트) (0) | 2023.05.12 |
| [자료구조] 연결 리스트 2 (체인 반복자, 체인 조작 연산 2) (0) | 2023.05.11 |